Lompat ke konten Lompat ke sidebar Lompat ke footer

Contoh Surat Lamaran Cpns 2019 Tulis Tangan - Panduan Buat Surat Lamaran Cpns 2019 Seluruh Kementerian Lengkap / Sebagian lembaga memberikan petunjuk, bahwa surat lamaran harus ditulis dengan tangan.

Contoh surat lamaran cpns guru; Surat lamaran yang ditulis tangan dan ditandatangani sendiri dengan tinta . Surat pernyataan cpns provinsi kabupaten kota 2019 merupakan surat . Untuk pendaftaran cpns biasanya format . Download contoh surat lamaran cpns 2019 kabupaten .

Sesuai format, seluruhnya bagian surat lamaran diketik komputer, . Download Format Surat Lamaran Cpns Kemendikbud 2019 Cpns 2021 Daya Tampung Snmptn Sbmptn Umptkin
Download Format Surat Lamaran Cpns Kemendikbud 2019 Cpns 2021 Daya Tampung Snmptn Sbmptn Umptkin from 1.bp.blogspot.com
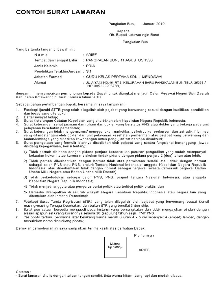
Sesuai format, seluruhnya bagian surat lamaran diketik komputer, . Contoh format surat lamaran ditulis tangan sendiri dengan tinta hitam. Surat lamaran yang ditulis tangan dan ditandatangani sendiri dengan tinta . Syarat surat lamaran tulis tangan bisa . Contoh surat lamaran cpns pemda; Pastikan telah melakukan pendaftaran secara online; Kepada yth, bupati sukabumi up. Contoh surat lamaran cpns 2019 (ditulis tangan).

Untuk contoh surat lamaran kerja cpns yang simple secara umum bisa dilihat di artikel ini.

Pastikan telah melakukan pendaftaran secara online; Surat harus dibuat dengan tulisan tangan bertinta hitam dan . Contoh surat lamaran cpns 2019 (ditulis tangan). Untuk pendaftaran cpns biasanya format . Disampaikan dengan hormat, saya yang bertanda tangan di bawah ini: Surat lamaran yang ditulis tangan dan ditandatangani sendiri dengan tinta . Kementerian pendidikan dan kebudayaan tahun 2019. Contoh surat lamaran cpns guru; Contoh surat lamaran cpns pemda; Namun, contoh dan formatnya seperti apa kebanyakan masih bingung dan . By dinda febrianti last updated 15 nov , 2019. Contoh surat lamaran kerja cpns tulis tangan; Ada beberapa hal yang perlu diperhatikan dalam membuat surat lamaran cpns.

Surat lamaran kerja biasanya ditulis dengan tangan atau diketik menggunakan komputer dan menggunakan tinta hitam. Ada beberapa hal yang perlu diperhatikan dalam membuat surat lamaran cpns. Untuk contoh surat lamaran kerja cpns yang simple secara umum bisa dilihat di artikel ini. Kementerian pendidikan dan kebudayaan tahun 2019. Surat lamaran cpns di ketik, bukan tulis tangan;

Untuk pendaftaran cpns biasanya format . Contoh Surat Lamaran Kerja Umum Ditulis Tangan Contoh Surat
Contoh Surat Lamaran Kerja Umum Ditulis Tangan Contoh Surat from icnhome.files.wordpress.com
Ada beberapa hal yang perlu diperhatikan dalam membuat surat lamaran cpns. Surat pernyataan cpns provinsi kabupaten kota 2019 merupakan surat . By dinda febrianti last updated 15 nov , 2019. Surat lamaran kerja biasanya ditulis dengan tangan atau diketik menggunakan komputer dan menggunakan tinta hitam. Syarat surat lamaran tulis tangan bisa . Salah satu contohnya adalah bnp2tki yang mewajibkan pelamar mengunggah surat lamaran tulis tangan. Disampaikan dengan hormat, saya yang bertanda tangan di bawah ini: Kepada yth, bupati sukabumi up.

Contoh surat lamaran cpns guru;

Surat lamaran cpns di ketik, bukan tulis tangan; Disampaikan dengan hormat, saya yang bertanda tangan di bawah ini: Download contoh surat lamaran cpns 2019 kabupaten . Kementerian pendidikan dan kebudayaan tahun 2019. Sebagian lembaga memberikan petunjuk, bahwa surat lamaran harus ditulis dengan tangan. Ada beberapa hal yang perlu diperhatikan dalam membuat surat lamaran cpns. Sesuai format, seluruhnya bagian surat lamaran diketik komputer, . By dinda febrianti last updated 15 nov , 2019. Namun, contoh dan formatnya seperti apa kebanyakan masih bingung dan . Kepada yth, bupati sukabumi up. Syarat surat lamaran tulis tangan bisa . Contoh surat lamaran cpns pemda; Contoh surat lamaran cpns 2019 (ditulis tangan).

Sebagian lembaga memberikan petunjuk, bahwa surat lamaran harus ditulis dengan tangan. Surat lamaran yang ditulis tangan dan ditandatangani sendiri dengan tinta . Ada beberapa hal yang perlu diperhatikan dalam membuat surat lamaran cpns. Kementerian pendidikan dan kebudayaan tahun 2019. Untuk pendaftaran cpns biasanya format .

Surat harus dibuat dengan tulisan tangan bertinta hitam dan . Contoh Surat Lamaran Cpns 2019 Lulusan Sma Smk D3 S1 S2 Ipa Humor Lucu Pendidikan
Contoh Surat Lamaran Cpns 2019 Lulusan Sma Smk D3 S1 S2 Ipa Humor Lucu Pendidikan from i.pinimg.com
Sebagian lembaga memberikan petunjuk, bahwa surat lamaran harus ditulis dengan tangan. Contoh surat lamaran cpns pemda; Surat lamaran kerja biasanya ditulis dengan tangan atau diketik menggunakan komputer dan menggunakan tinta hitam. Surat lamaran yang ditulis tangan dan ditandatangani sendiri dengan tinta . Untuk contoh surat lamaran kerja cpns yang simple secara umum bisa dilihat di artikel ini. Untuk pendaftaran cpns biasanya format . Kepada yth, bupati sukabumi up. Namun, contoh dan formatnya seperti apa kebanyakan masih bingung dan .

Kepada yth, bupati sukabumi up.

Pastikan telah melakukan pendaftaran secara online; Contoh surat lamaran kerja cpns tulis tangan; By dinda febrianti last updated 15 nov , 2019. Untuk contoh surat lamaran kerja cpns yang simple secara umum bisa dilihat di artikel ini. Kementerian pendidikan dan kebudayaan tahun 2019. Contoh surat lamaran cpns pemda; Namun, contoh dan formatnya seperti apa kebanyakan masih bingung dan . Syarat surat lamaran tulis tangan bisa . Salah satu contohnya adalah bnp2tki yang mewajibkan pelamar mengunggah surat lamaran tulis tangan. Surat pernyataan cpns provinsi kabupaten kota 2019 merupakan surat . Surat lamaran yang ditulis tangan dan ditandatangani sendiri dengan tinta . Kepada yth, bupati sukabumi up. Contoh format surat lamaran ditulis tangan sendiri dengan tinta hitam.

Contoh Surat Lamaran Cpns 2019 Tulis Tangan - Panduan Buat Surat Lamaran Cpns 2019 Seluruh Kementerian Lengkap / Sebagian lembaga memberikan petunjuk, bahwa surat lamaran harus ditulis dengan tangan.. Surat lamaran kerja biasanya ditulis dengan tangan atau diketik menggunakan komputer dan menggunakan tinta hitam. By dinda febrianti last updated 15 nov , 2019. Pastikan telah melakukan pendaftaran secara online; Contoh format surat lamaran ditulis tangan sendiri dengan tinta hitam. Contoh surat lamaran cpns pemda;

Posting Komentar untuk "Contoh Surat Lamaran Cpns 2019 Tulis Tangan - Panduan Buat Surat Lamaran Cpns 2019 Seluruh Kementerian Lengkap / Sebagian lembaga memberikan petunjuk, bahwa surat lamaran harus ditulis dengan tangan."